基本信息
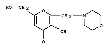
| 中文名称: | 3-羟基-6-(羟基甲基)-2-(4-吗啉甲基)-4H-吡喃-4-酮 |
| 中文别名: | |
| 英文名称: | 4H-pyran-4-one,3-hydroxy-6-(hydroxymethyl)-2-(4-morpholinylmethyl)- |
| 英文别名: | 4H-Pyran-4-one,3-hydroxy-6-(hydroxymethyl)-2-(morpholinomethyl)- (6CI,7CI,8CI); 3-Hydroxy-6-(hydroxymethyl)-2-(4-morpholinylmethyl)-4H-pyran-4-one;6-(Morpholinylmethyl)kojic acid; NSC 94254 |
| CAS号: | 1429-25-0 |
| 分子式: | C11H15NO5 |
| 分子量: | 241.2405 |
| EINECS 登录号: | |
| 结构式: | ![]() |
物理化学性质 |
||||||
|


