基本信息
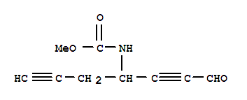
| 中文名称: | (9ci)-[4-氧代-1-(2-丙炔)-2-丁炔基]-氨基甲酸甲酯 |
| 中文别名: | |
| 英文名称: | Carbamic acid, [4-oxo-1-(2-propynyl)-2-butynyl]-, methyl ester (9ci) |
| 英文别名: | |
| CAS号: | 217442-31-4 |
| 分子式: | C9H9NO3 |
| 分子量: | 179.17 |
| EINECS 登录号: | |
| 结构式: | ![]() |
| 中文名称: | (9ci)-[4-氧代-1-(2-丙炔)-2-丁炔基]-氨基甲酸甲酯 |
| 中文别名: | |
| 英文名称: | Carbamic acid, [4-oxo-1-(2-propynyl)-2-butynyl]-, methyl ester (9ci) |
| 英文别名: | |
| CAS号: | 217442-31-4 |
| 分子式: | C9H9NO3 |
| 分子量: | 179.17 |
| EINECS 登录号: | |
| 结构式: | ![]() |