基本信息
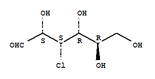
| 中文名称: | 3-氯-3-脱氧-D-吡喃葡萄糖 |
| 中文别名: | |
| 英文名称: | 3-Chloro-3-deoxy-d-glucopyranose |
| 英文别名: | |
| CAS号: | 22933-89-7 |
| 分子式: | C6H11ClO5 |
| 分子量: | 198.60 |
| EINECS 登录号: | |
| 结构式: | ![]() |
物理化学性质 |
||||||
|
| 中文名称: | 3-氯-3-脱氧-D-吡喃葡萄糖 |
| 中文别名: | |
| 英文名称: | 3-Chloro-3-deoxy-d-glucopyranose |
| 英文别名: | |
| CAS号: | 22933-89-7 |
| 分子式: | C6H11ClO5 |
| 分子量: | 198.60 |
| EINECS 登录号: | |
| 结构式: | ![]() |
物理化学性质 |
||||||
|