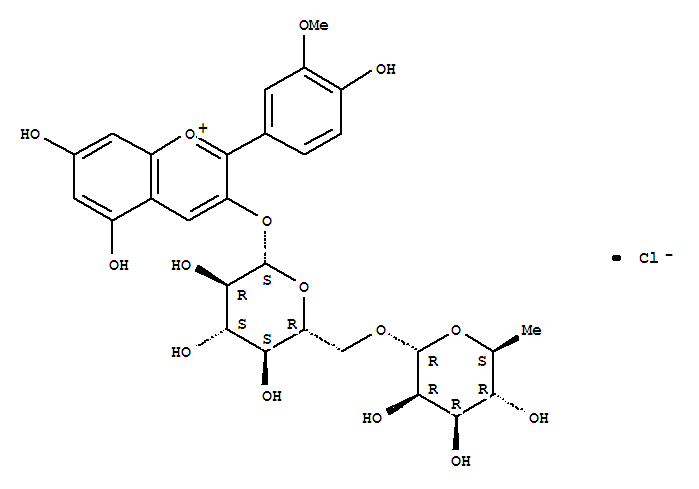
基本信息
| 中文名称: | (2R,3R,4R,5R,6S)-2-[[(2R,3S,4S,5R,6S)-6-[5,7-二羟基-2-(4-羟基-3-甲氧基-苯基)苯并吡喃基鎓-3-基]氧基-3,4,5-三羟基-四氢吡喃-2-基]甲氧基]-6-甲基-四氢吡喃-3,4,5-三醇氯化物 |
| 中文别名: | |
| 英文名称: | (2R,3r,4r,5r,6s)-2-[[(2r,3s,4s,5r,6s)-6-[5,7-dihydroxy-2-(4-hydroxy-3-methoxy-phenyl)chromenylium-3-yl]oxy-3,4,5-trihydroxy-tetrahydropyran-2-yl]methoxy]-6-methyl-tetrahydropyran-3,4,5-triol chloride |
| 英文别名: | |
| CAS号: | 27539-32-8 |
| 分子式: | C28H33ClO15 |
| 分子量: | 645.01 |
| EINECS 登录号: | |
| 结构式: | ![]() |


