设为首页
添加到收藏夹
手机版
会员登陆
会员注册
找回密码
关于我们
网站建设
网站推广
广告服务
联系我们
友情链接
English
全站搜索
产品大全
CAS#
企业名录
企业报价
产品供应
产品求购
化工资讯
化工项目
市场行情
展会信息
网站首页
产品大全
企业名录
企业报价
产品供应
产品求购
化工资讯
化工项目
市场行情
展会信息
热门产品
化工字典
首页>化工字典>61932-63-6
产品排序
按产品名称排序
按CAS 登录号排序
按字母排序
A
B
C
D
E
F
G
H
I
J
K
L
M
N
O
P
Q
R
S
T
U
V
W
X
Y
Z
热门搜索
50326-33-5
12238-31-2
73263-40-8
80083-40-5
75627-12-2
68310-07-6
6410-38-4
36888-99-0
68511-62-6
71832-85-4
基本信息
中文名称:
颜料红 210
中文别名:
英文名称:
Pigment red 210
英文别名:
CAS号:
61932-63-6
分子式:
分子量:
EINECS 登录号:
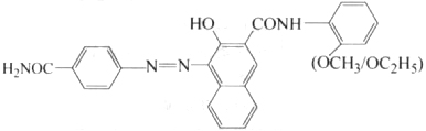
结构式:
供应商
Shanghai orgchem co.,ltd.
更多
61932-63-6
的供应商
网站首页
关于我们
联系我们
友情链接
广告服务
网站推广
网站建设
上海丹帆网络科技有限公司 版权所有 (C)2003-2025