基本信息
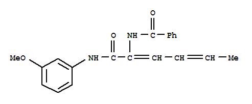
| 中文名称: | (9ci)-n-[1-[[(3-甲氧基苯基)氨基]羰基]-1,3-戊二烯]-苯甲酰胺 |
| 中文别名: | |
| 英文名称: | Benzamide, n-[1-[[(3-methoxyphenyl)amino]carbonyl]-1,3-pentadienyl]-(9ci) |
| 英文别名: | |
| CAS号: | 418796-45-9 |
| 分子式: | C20H20N2O3 |
| 分子量: | 336.3844 |
| EINECS 登录号: | |
| 结构式: | ![]() |
| 中文名称: | (9ci)-n-[1-[[(3-甲氧基苯基)氨基]羰基]-1,3-戊二烯]-苯甲酰胺 |
| 中文别名: | |
| 英文名称: | Benzamide, n-[1-[[(3-methoxyphenyl)amino]carbonyl]-1,3-pentadienyl]-(9ci) |
| 英文别名: | |
| CAS号: | 418796-45-9 |
| 分子式: | C20H20N2O3 |
| 分子量: | 336.3844 |
| EINECS 登录号: | |
| 结构式: | ![]() |