基本信息
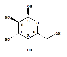
| 中文名称: | α-D-半乳糖 |
| 中文别名: | |
| 英文名称: | α-d-galactose |
| 英文别名: | |
| CAS号: | 3646-73-9 |
| 分子式: | C6H12O6 |
| 分子量: | 180.1559 |
| EINECS 登录号: | |
| 结构式: | ![]() |
物理化学性质 |
||||
|
| 中文名称: | α-D-半乳糖 |
| 中文别名: | |
| 英文名称: | α-d-galactose |
| 英文别名: | |
| CAS号: | 3646-73-9 |
| 分子式: | C6H12O6 |
| 分子量: | 180.1559 |
| EINECS 登录号: | |
| 结构式: | ![]() |
物理化学性质 |
||||
|