基本信息
| 中文名称: | 四异丁烯(含异构体) |
| 中文别名: | |
| 英文名称: | Tetraisobutylene |
| 英文别名: | |
| CAS号: | 15220-85-6 |
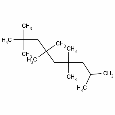
| 分子式: | C16H32 |
| 分子量: | 224.43 |
| EINECS 登录号: | |
| 结构式: | ![]() |
物理化学性质 |
||||||
|
| 中文名称: | 四异丁烯(含异构体) |
| 中文别名: | |
| 英文名称: | Tetraisobutylene |
| 英文别名: | |
| CAS号: | 15220-85-6 |
| 分子式: | C16H32 |
| 分子量: | 224.43 |
| EINECS 登录号: | |
| 结构式: | ![]() |
物理化学性质 |
||||||
|