首页>化工字典>(20S)-21,23:24,25-二环氧-13ALPHA,14BETA,17BETAH-羊毛甾-7-烯-3ALPHA,21-二醇 3-乙酸酯

 产品排序

按产品名称排序
按CAS 登录号排序
按字母排序

  基本信息

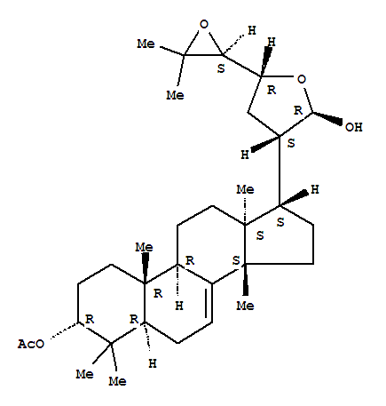
中文名称: (20S)-21,23:24,25-二环氧-13ALPHA,14BETA,17BETAH-羊毛甾-7-烯-3ALPHA,21-二醇 3-乙酸酯
中文别名:
英文名称: 3-Epiturraeanthin
英文别名:
CAS号:  22415-24-3
分子式:  C32H50O5
分子量:  514.74
EINECS 登录号:
结构式: (20S)-21,23:24,25-二环氧-13ALPHA,14BETA,17BETAH-羊毛甾-7-烯-3ALPHA,21-二醇 3-乙酸酯结构式_22415-24-3结构式

  供应商


更多(20S)-21,23:24,25-二环氧-13ALPHA,14BETA,17BETAH-羊毛甾-7-烯-3ALPHA,21-二醇 3-乙酸酯的供应商
上海丹帆网络科技有限公司 版权所有 (C)2003-2026