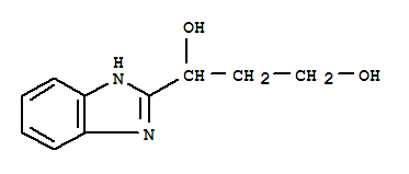
基本信息
| 中文名称: | (9ci)-1-(1H-苯并咪唑-2-基)-1,3-丙二醇 |
| 中文别名: | |
| 英文名称: | 1,3-Propanediol,1-(1h-benzimidazol-2-yl)-(9ci) |
| 英文别名: | |
| CAS号: | 36663-34-0 |
| 分子式: | C10H12N2O2 |
| 分子量: | 192.21 |
| EINECS 登录号: | |
| 结构式: | ![]() |
| 中文名称: | (9ci)-1-(1H-苯并咪唑-2-基)-1,3-丙二醇 |
| 中文别名: | |
| 英文名称: | 1,3-Propanediol,1-(1h-benzimidazol-2-yl)-(9ci) |
| 英文别名: | |
| CAS号: | 36663-34-0 |
| 分子式: | C10H12N2O2 |
| 分子量: | 192.21 |
| EINECS 登录号: | |
| 结构式: | ![]() |