基本信息
| 中文名称: | D-葡萄糖-6-13c-6-c-d2 |
| 中文别名: | |
| 英文名称: | D-glucose-6-13c-6-c-d2 |
| 英文别名: | |
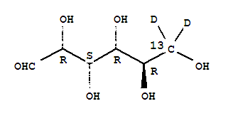
| CAS号: | 478529-33-8 |
| 分子式: | C6H10D2O6 |
| 分子量: | 183.18 |
| EINECS 登录号: | |
| 结构式: | ![]() |
| 中文名称: | D-葡萄糖-6-13c-6-c-d2 |
| 中文别名: | |
| 英文名称: | D-glucose-6-13c-6-c-d2 |
| 英文别名: | |
| CAS号: | 478529-33-8 |
| 分子式: | C6H10D2O6 |
| 分子量: | 183.18 |
| EINECS 登录号: | |
| 结构式: | ![]() |