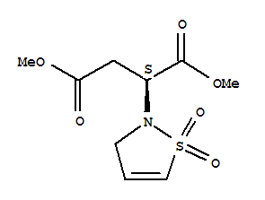
基本信息
| 中文名称: | (2S)-2-(1,1-二氧代-2(3H)-异噻唑基)-丁二酸二甲酯 |
| 中文别名: | |
| 英文名称: | (2S)-2-(1,1-dioxido-2(3h)-isothiazolyl)-butanedioic acid 1,4-dimethyl ester |
| 英文别名: | Butanedioicacid, (1,1-dioxido-2(3H)-isothiazolyl)-, dimethyl ester, (2S)- (9CI) |
| CAS号: | 515130-06-0 |
| 分子式: | C9H13NO6S |
| 分子量: | 263.27 |
| EINECS 登录号: | |
| 结构式: | ![]() |


