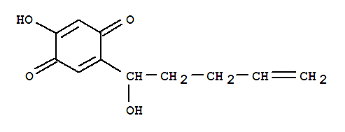
基本信息
| 中文名称: | (9ci)-2-羟基-5-(1-羟基-4-戊烯基)-2,5-环己二烯-1,4-二酮 |
| 中文别名: | |
| 英文名称: | 2,5-Cyclohexadiene-1,4-dione,2-hydroxy-5-(1-hydroxy-4-pentenyl)-(9ci) |
| 英文别名: | |
| CAS号: | 73827-93-7 |
| 分子式: | C11H12O4 |
| 分子量: | 208.21 |
| EINECS 登录号: | |
| 结构式: | ![]() |
| 中文名称: | (9ci)-2-羟基-5-(1-羟基-4-戊烯基)-2,5-环己二烯-1,4-二酮 |
| 中文别名: | |
| 英文名称: | 2,5-Cyclohexadiene-1,4-dione,2-hydroxy-5-(1-hydroxy-4-pentenyl)-(9ci) |
| 英文别名: | |
| CAS号: | 73827-93-7 |
| 分子式: | C11H12O4 |
| 分子量: | 208.21 |
| EINECS 登录号: | |
| 结构式: | ![]() |