基本信息
| 中文名称: | (9ci)-3-[2-(1-吡咯烷)乙基]-1,2-苯二醇 |
| 中文别名: | |
| 英文名称: | 1,2-Benzenediol, 3-[2-(1-pyrrolidinyl)ethyl]-(9ci) |
| 英文别名: | |
| CAS号: | 771416-06-9 |
| 分子式: | C12H17NO2 |
| 分子量: | 207.26888 |
| EINECS 登录号: | |
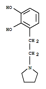
| 结构式: | ![]() |
| 中文名称: | (9ci)-3-[2-(1-吡咯烷)乙基]-1,2-苯二醇 |
| 中文别名: | |
| 英文名称: | 1,2-Benzenediol, 3-[2-(1-pyrrolidinyl)ethyl]-(9ci) |
| 英文别名: | |
| CAS号: | 771416-06-9 |
| 分子式: | C12H17NO2 |
| 分子量: | 207.26888 |
| EINECS 登录号: | |
| 结构式: | ![]() |