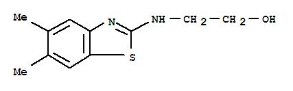
基本信息
| 中文名称: | (9ci)-2-[(5,6-二甲基-2-苯并噻唑)氨基]-乙醇 |
| 中文别名: | |
| 英文名称: | Ethanol, 2-[(5,6-dimethyl-2-benzothiazolyl)amino]-(9ci) |
| 英文别名: | |
| CAS号: | 78290-92-3 |
| 分子式: | C11H14N2OS |
| 分子量: | 222.30666 |
| EINECS 登录号: | |
| 结构式: | ![]() |
| 中文名称: | (9ci)-2-[(5,6-二甲基-2-苯并噻唑)氨基]-乙醇 |
| 中文别名: | |
| 英文名称: | Ethanol, 2-[(5,6-dimethyl-2-benzothiazolyl)amino]-(9ci) |
| 英文别名: | |
| CAS号: | 78290-92-3 |
| 分子式: | C11H14N2OS |
| 分子量: | 222.30666 |
| EINECS 登录号: | |
| 结构式: | ![]() |