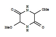
基本信息
| 中文名称: | (9ci)-3,6-二甲氧基-2,5-哌嗪二酮 |
| 中文别名: | |
| 英文名称: | 2,5-Piperazinedione,3,6-dimethoxy-(9ci) |
| 英文别名: | |
| CAS号: | 80478-58-6 |
| 分子式: | C6H10N2O4 |
| 分子量: | 174.16 |
| EINECS 登录号: | |
| 结构式: | ![]() |
| 中文名称: | (9ci)-3,6-二甲氧基-2,5-哌嗪二酮 |
| 中文别名: | |
| 英文名称: | 2,5-Piperazinedione,3,6-dimethoxy-(9ci) |
| 英文别名: | |
| CAS号: | 80478-58-6 |
| 分子式: | C6H10N2O4 |
| 分子量: | 174.16 |
| EINECS 登录号: | |
| 结构式: | ![]() |