基本信息
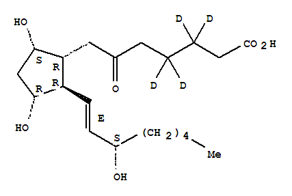
| 中文名称: | (9alpha,11alpha,13E,15S)-9,11,15-三羟基-6-氧代-前列腺-13-烯-1-酸-3,3,4,4-D4 |
| 中文别名: | |
| 英文名称: | (9Alpha,11alpha,13e,15s)-9,11,15-trihydroxy-6-oxo-prost-13-en-1-oic-3,3,4,4-d4acid |
| 英文别名: | 6-KETO-PROSTAGLANDIN F1ALPHA-3,3,4,4-D4;6-KETO PROSTAGLANDIN F1ALPHA-D4;6-OXO-9ALPHA,11ALPHA,15S-TRIHYDROXY-PROST-13E-EN-1-OIC-3,3,4,4-D4 ACID |
| CAS号: | 82414-64-0 |
| 分子式: | C20H30D4O6 |
| 分子量: | 390.5131 |
| EINECS 登录号: | |
| 结构式: | ![]() |
物理化学性质 |
||||||||
|


