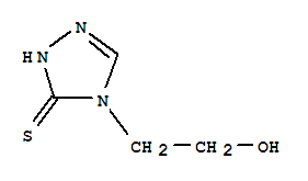
基本信息
| 中文名称: | (9ci)-2,4-二氢-4-(2-羟基乙基)-3H-1,2,4-噻唑-3-硫酮 |
| 中文别名: | |
| 英文名称: | 3H-1,2,4-triazole-3-thione,2,4-dihydro-4-(2-hydroxyethyl)-(9ci) |
| 英文别名: | |
| CAS号: | 764605-76-7 |
| 分子式: | C4H7N3OS |
| 分子量: | 145.18 |
| EINECS 登录号: | |
| 结构式: | ![]() |
| 中文名称: | (9ci)-2,4-二氢-4-(2-羟基乙基)-3H-1,2,4-噻唑-3-硫酮 |
| 中文别名: | |
| 英文名称: | 3H-1,2,4-triazole-3-thione,2,4-dihydro-4-(2-hydroxyethyl)-(9ci) |
| 英文别名: | |
| CAS号: | 764605-76-7 |
| 分子式: | C4H7N3OS |
| 分子量: | 145.18 |
| EINECS 登录号: | |
| 结构式: | ![]() |