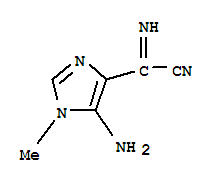
基本信息
| 中文名称: | (9ci)-5-氨基-alpha-亚氨基-1-甲基-1H-咪唑-4-乙腈 |
| 中文别名: | |
| 英文名称: | 1H-imidazole-4-acetonitrile,5-amino-alpha-imino-1-methyl-(9ci) |
| 英文别名: | |
| CAS号: | 765943-20-2 |
| 分子式: | C6H7N5 |
| 分子量: | 149.15328 |
| EINECS 登录号: | |
| 结构式: | ![]() |
| 中文名称: | (9ci)-5-氨基-alpha-亚氨基-1-甲基-1H-咪唑-4-乙腈 |
| 中文别名: | |
| 英文名称: | 1H-imidazole-4-acetonitrile,5-amino-alpha-imino-1-methyl-(9ci) |
| 英文别名: | |
| CAS号: | 765943-20-2 |
| 分子式: | C6H7N5 |
| 分子量: | 149.15328 |
| EINECS 登录号: | |
| 结构式: | ![]() |