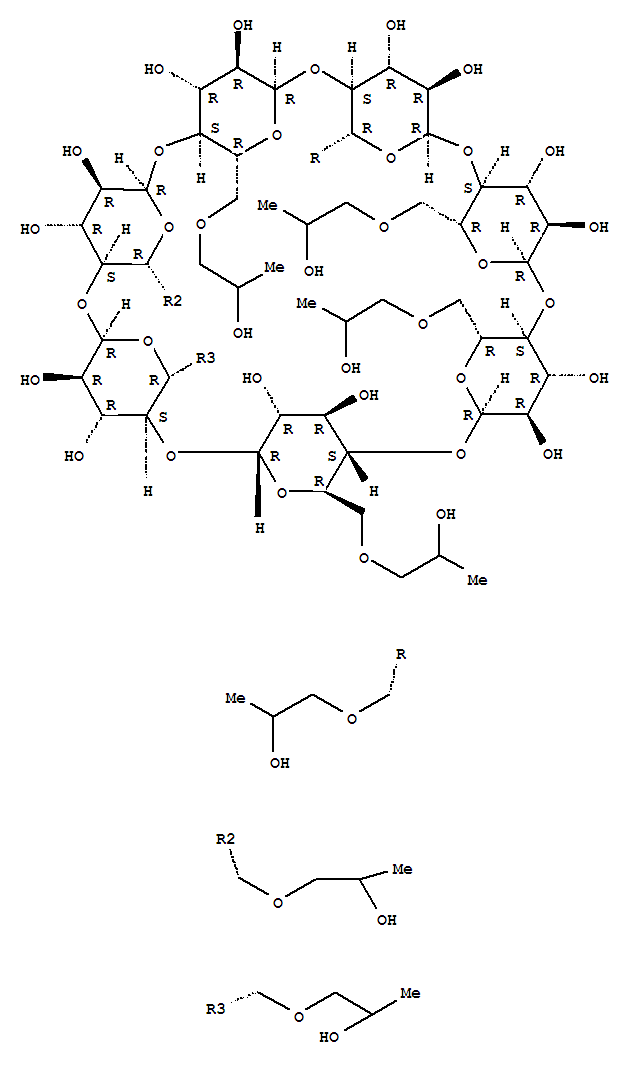
Chemical Name: |
6A,6b,6c,6d,6e,6f,6g-heptakis-o-(2-hydroxypropyl)-beta-cyclodextrin |
Synonyms: |
2,4,7,9,12,14,17,19,22,24,27,29,32,34-Tetradecaoxaoctacyclo[31.2.2.23,6.28,11.213,16.218,21.223,26.228,31]nonatetracontane,b-cyclodextrin deriv. |
CAS#: |
107745-73-3 |
Molecular formula: |
C63H112O42 |
Molecular weight: |
1541.54 |
Molecular Structure: |
 |
|