Set as your home page
|
Add to Favorites
Join Now
|
Sign In
|
Contact us
|
China Site
Products
CAS number
Company
Sell
Buy
Expo
Dictionary
Hot Keywords
:
Sodium Stannate
,
Iron Dextran
,
Ivermectin
,
Imidocarb
,
Glyphosate
Home
For Buyers
For Sellers
Products Directory
Company Directory
EXPO
Dictionary
My office
Display by Products Name
Display by CAS No.
Dictionary
A
B
C
D
E
F
G
H
I
J
K
L
M
N
O
P
Q
R
S
T
U
V
W
X
Y
Z
5-Hydroxy-7,8,2’,5’- tetramethoxyflavone 5-o-glucoside
Butin
Clausine i
Isomurralonginol acetate
Bisandrographolide c
6-Epi-8-o-acetylharpagide
6-Epiharpagide
Akuammigine
Coniferyl alcohol
Mangiferolic acid
Dictionary
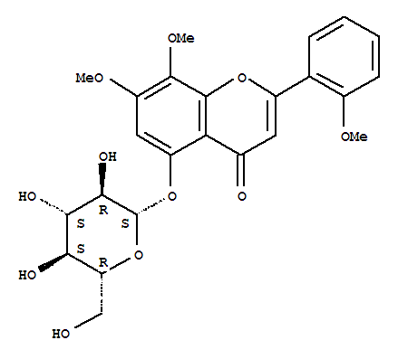
Chemical Name:
Andrographidine e
Synonyms:
CAS#:
113963-41-0
Molecular formula:
C24H26O11
Molecular weight:
490.46
Molecular Structure:
Suppliers for Andrographidine e More...
Shanghai Danfan Network Science&Technology Co., Ltd. All Rights Reserved.