Set as your home page
|
Add to Favorites
Join Now
|
Sign In
|
Contact us
|
China Site
Products
CAS number
Company
Sell
Buy
Expo
Dictionary
Hot Keywords
:
Sodium Stannate
,
Iron Dextran
,
Ivermectin
,
Imidocarb
,
Glyphosate
Home
For Buyers
For Sellers
Products Directory
Company Directory
EXPO
Dictionary
My office
Display by Products Name
Display by CAS No.
Dictionary
A
B
C
D
E
F
G
H
I
J
K
L
M
N
O
P
Q
R
S
T
U
V
W
X
Y
Z
3,5,9-Trihydroxyergosta-7,22-dien-6-one
Ceanothic acid
3,5-Dihydroxyergosta-7,22-dien-6-one
Coronarin B
Globularin
Cerevisterol
Ganoderol B
Coronarin A
Phlorigidoside B
Quinovic acid
Dictionary
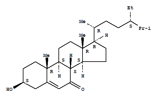
Chemical Name:
3Beta-Hydroxyporiferast-5-en-7-one
Synonyms:
CAS#:
145163-97-9
Molecular formula:
C29H48O2
Molecular weight:
428.7
Molecular Structure:
Suppliers for 3Beta-Hydroxyporiferast-5-en-7-one More...
BioBioPha co., ltd. (BBP)
Shanghai Danfan Network Science&Technology Co., Ltd. All Rights Reserved.