Set as your home page
|
Add to Favorites
Join Now
|
Sign In
|
Contact us
|
China Site
Products
CAS number
Company
Sell
Buy
Expo
Dictionary
Hot Keywords
:
Sodium Stannate
,
Iron Dextran
,
Ivermectin
,
Imidocarb
,
Glyphosate
Home
For Buyers
For Sellers
Products Directory
Company Directory
EXPO
Dictionary
My office
Display by Products Name
Display by CAS No.
Dictionary
A
B
C
D
E
F
G
H
I
J
K
L
M
N
O
P
Q
R
S
T
U
V
W
X
Y
Z
Diquafosol
Diquat dipyridone
Diquat monopyridone (contain unknown salt)
Disodium cyanoiminomethanedithiolate
Disopyramide-d14 tosylate salt
Disulfiram-d20
2,4-Disulfobenzaldehyde-2’,4’-dinitrophenylhydrazone disodium salt
2,4-Disulfobenzaldehyde-4’-nitrophenylhydrazine disodium salt
Ditekirene
3,4-Di(tetrahydropyran-2-oxy)benzaldehyde
Dictionary
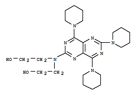
Chemical Name:
Dipyridamole tripiperidine
Synonyms:
CAS#:
16982-40-4
Molecular formula:
C25H40N8O2
Molecular weight:
Molecular Structure:
Suppliers for Dipyridamole tripiperidine More...
Shanghai Danfan Network Science&Technology Co., Ltd. All Rights Reserved.