| |
|
| |
 |
Dictionary |
 |
|
|
|
 |
Dictionary |
|
 |
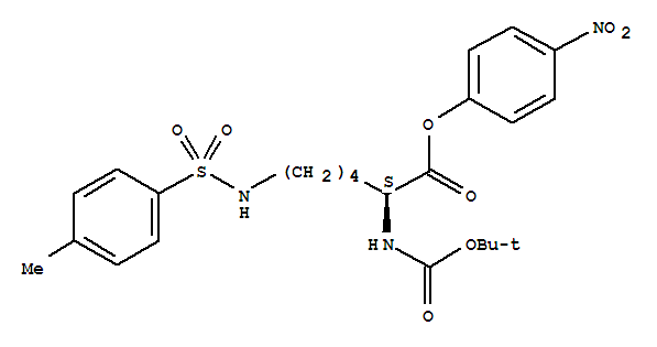
| Chemical Name: |
Nα-boc-nε-4-toluenesulfonyl-l-lysine 4-nitrophenyl ester |
| Synonyms: |
BOC-N-EPSILON-4-TOLUENESULFONYL-L-LYSINE 4-NITROPHENYL ESTER;BOC-LYS(TOS)-ONP;BOC-LYSINE(TOS)-ONP |
| CAS#: |
200943-66-4 |
| Molecular formula: |
C24H31N3O8S |
| Molecular weight: |
521.58 |
| Molecular Structure: |
 |
|
|