Set as your home page | Add to Favorites
Join Now | Sign In | Contact us | China Site
 
 
Display by Products Name
Display by CAS No.
 
Dictionary
ABCDEF
GHIJKL
MNOPQR
STUVWX
YZ
Cis-2-dodecenoic acid
Concanamycin c
Copper(ii) ionophore iv
Desacetylcolchicine d-tartrate
Dimethylvinphos
Diphenyliodonium nitrate
Echinosporin
Eosin-5-isothiocyanate
Fluorescein diacetate 5-maleimide
Fluorescein diacetate 6-maleimide
Dictionary   

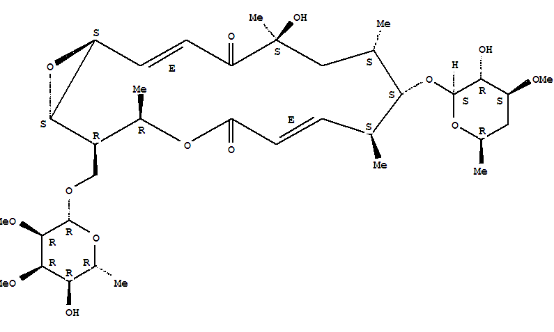
Chemical Name: Chalcomycin
Synonyms: Chalcomycin(7CI,8CI); 4,17-Dioxabicyclo[14.1.0]heptadecane, chalcomycin deriv.;Chalcomycin A; NSC 150439; Stereoisomer of 2-[[(6-deoxy-2,3-di-O-methyl-b-D-allopyranosyl)oxy]methyl]-9-[(4,6-dideoxy-3-O-methyl-b-D-xylo-hexopyranosyl)oxy]-12-hydroxy-3,8,10,12-tetramethyl-4,17-dioxabicyclo[14.1.0]heptadeca-6,14-diene-5,13-dione
CAS#: 20283-48-1
Molecular formula: C35H56O14
Molecular weight: 700.8107
Molecular Structure: Chalcomycin Structure,20283-48-1Structure
Suppliers for Chalcomycin    More...

Shanghai Danfan Network Science&Technology Co., Ltd. All Rights Reserved.