| |
|
| |
 |
Dictionary |
 |
| Methanediol, (1-ethenyl-1h-imidazol-2-yl)-(9ci) |
| Methanediol, (1-hydroxy-1h-imidazol-2-yl)-(9ci) |
| Methanediol, (3-fluoro-4-methylphenyl)-(9ci) |
| Methanediol, (4-fluoro-3-methylphenyl)-(9ci) |
| Methanediol, (4-methyl-4h-1,2,4-triazol-3-yl)-(9ci) |
| Methanediol, (5-aci-nitro-2(5h)-furanylidene)-(9ci) |
| Methanediol, 1h-benzimidazol-2-yl-(9ci) |
| Methanediol, 1h-inden-1-ylidene-(9ci) |
| Methanediol, 2-pyridinyl-(9ci) |
| Methanediol, 3-pyridinyl-(9ci) |
|
|
 |
Dictionary |
|
 |
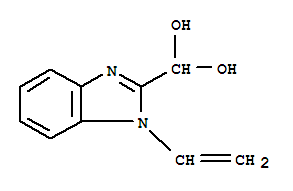
| Chemical Name: |
Methanediol, (1-ethenyl-1h-benzimidazol-2-yl)-(9ci) |
| Synonyms: |
|
| CAS#: |
215512-70-2 |
| Molecular formula: |
C10H10N2O2 |
| Molecular weight: |
190.1986 |
| Molecular Structure: |
 |
|
|