Set as your home page
|
Add to Favorites
Join Now
|
Sign In
|
Contact us
|
China Site
Products
CAS number
Company
Sell
Buy
Expo
Dictionary
Hot Keywords
:
Sodium Stannate
,
Iron Dextran
,
Ivermectin
,
Imidocarb
,
Glyphosate
Home
For Buyers
For Sellers
Products Directory
Company Directory
EXPO
Dictionary
My office
Display by Products Name
Display by CAS No.
Dictionary
A
B
C
D
E
F
G
H
I
J
K
L
M
N
O
P
Q
R
S
T
U
V
W
X
Y
Z
Isradipine Lactone
Itopride N-Oxide
Ivabradine-d3 Hydrochloride
Ivacaftor-d18
rac-trans Jasmonic Acid
JHW 007 Hydrochloride
JWH-081 N-(5-Hydroxypentyl)
JWH-122 3-Methylnaphthyl Isomer
JWH-122 5-Methylnaphthyl Isomer
Kaempferol Di-O-methoxymethyl Ether
Dictionary
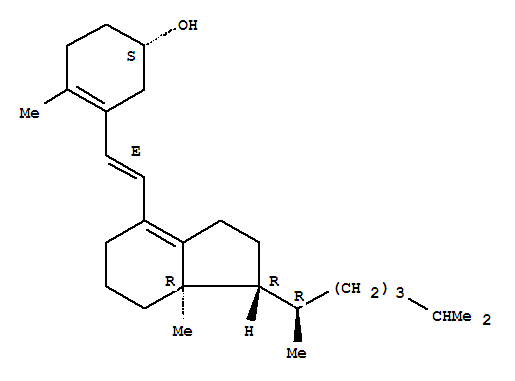
Chemical Name:
Isotachysterol3
Synonyms:
9,10-Secocholesta-5(10),6,8(14)-trien-3b-ol, (E)- (8CI); Isotachysterol3(6CI); Toxisterol3 D3
CAS#:
22350-43-2
Molecular formula:
C27H44O
Molecular weight:
384.64
Molecular Structure:
Suppliers for Isotachysterol3 More...
Shanghai Danfan Network Science&Technology Co., Ltd. All Rights Reserved.