Set as your home page
|
Add to Favorites
Join Now
|
Sign In
|
Contact us
|
China Site
Products
CAS number
Company
Sell
Buy
Expo
Dictionary
Hot Keywords
:
Sodium Stannate
,
Iron Dextran
,
Ivermectin
,
Imidocarb
,
Glyphosate
Home
For Buyers
For Sellers
Products Directory
Company Directory
EXPO
Dictionary
My office
Display by Products Name
Display by CAS No.
Dictionary
A
B
C
D
E
F
G
H
I
J
K
L
M
N
O
P
Q
R
S
T
U
V
W
X
Y
Z
Glucurolactone
Glufosinate
Glutathione peroxidase
Hydrobenzole hydrochloridum
Hydrocortisone
Ibandronate sodium anhydrate
Ichthammol
Iodised peanut oil
Iodised poppy oil
Irisquinone
Dictionary
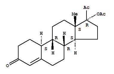
Chemical Name:
Gestonorone acetate
Synonyms:
CAS#:
2645-97-8
Molecular formula:
C22H30O4
Molecular weight:
358.47
Molecular Structure:
Suppliers for Gestonorone acetate More...
Shanghai orgchem co.,ltd.
Shanghai Danfan Network Science&Technology Co., Ltd. All Rights Reserved.