Set as your home page
|
Add to Favorites
Join Now
|
Sign In
|
Contact us
|
China Site
Products
CAS number
Company
Sell
Buy
Expo
Dictionary
Hot Keywords
:
Sodium Stannate
,
Iron Dextran
,
Ivermectin
,
Imidocarb
,
Glyphosate
Home
For Buyers
For Sellers
Products Directory
Company Directory
EXPO
Dictionary
My office
Display by Products Name
Display by CAS No.
Dictionary
A
B
C
D
E
F
G
H
I
J
K
L
M
N
O
P
Q
R
S
T
U
V
W
X
Y
Z
Faradiol
Isosilybin a
Luteolin 7-glucuronide
Nevadensin
Peonidin 3,5-diglucoside chloride
4’,5,7-Trihydroxy 3,6,8-trimethoxyflavone
Vicenin iii
Larixyl acetate
Matricin
Medicagenic acid
Dictionary
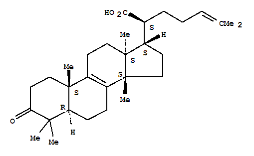
Chemical Name:
β-elemonic acid
Synonyms:
CAS#:
28282-25-9
Molecular formula:
C30H46O3
Molecular weight:
454.68
Molecular Structure:
Suppliers for β-elemonic acid More...
Shanghai Danfan Network Science&Technology Co., Ltd. All Rights Reserved.