| |
|
| |
 |
Dictionary |
 |
| 1-Piperazinecarboxylic acid, ethenyl ester |
| (1R,2s,3r,4s)-1,7,7-trimethyl-3-(4-morpholinyl)bicyclo[2.2.1]heptan-2-ol |
| [(2E)-3-acetyl-1,3-oxazolidin-2-ylidene]cyanamide |
| (1S,6s,7r,8as)-1-ethyl-6,7-dihydroxyhexahydro[1,3]oxazolo[3,4-a]pyridin-3-one |
| 3,3,5-Trimethyl-2-oxa-5-azaspiro[3.4]octan-1-one |
| 4-Hydroperoxy-2-hexanone |
| Dibutyl azelate |
| Methyl 6-amino-1,3-benzoxazole-2-carboxylate |
| [1-(1,3-Benzothiazol-2-yl)ethylidene]malononitrile |
| 3-Fluoro-1-oxaspiro[4.5]decane |
|
|
 |
Dictionary |
|
 |
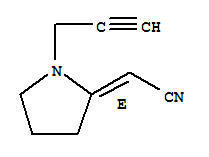
| Chemical Name: |
(2E)-[1-(2-propynyl)-2-pyrrolidinylidene]-acetonitrile |
| Synonyms: |
Acetonitrile,[1-(2-propynyl)-2-pyrrolidinylidene]-, (2E)- (9CI) |
| CAS#: |
283166-93-8 |
| Molecular formula: |
C9H10N2 |
| Molecular weight: |
146.1891 |
| Molecular Structure: |
![(2E)-[1-(2-propynyl)-2-pyrrolidinylidene]-acetonitrileStructure,283166-93-8Structure (2E)-[1-(2-propynyl)-2-pyrrolidinylidene]-acetonitrile Structure,283166-93-8Structure](../jpg/283166-93-8.jpg) |
|
|