Set as your home page
|
Add to Favorites
Join Now
|
Sign In
|
Contact us
|
China Site
Products
CAS number
Company
Sell
Buy
Expo
Dictionary
Hot Keywords
:
Sodium Stannate
,
Iron Dextran
,
Ivermectin
,
Imidocarb
,
Glyphosate
Home
For Buyers
For Sellers
Products Directory
Company Directory
EXPO
Dictionary
My office
Display by Products Name
Display by CAS No.
Dictionary
A
B
C
D
E
F
G
H
I
J
K
L
M
N
O
P
Q
R
S
T
U
V
W
X
Y
Z
Mannonic-delta-Lactam
4-O-beta-D-Mannopyranosyl-D-glucopyranoside
2-O-beta-D-Mannopyranosyl-D-mannose
3-O-beta-D-Mannopyranosyl D-Mannose
4-O-Hexopyranosylhexopyranose
Mannobiose
2-(alpha-D-Mannopyranosyl)-L-tryptophan
(1R,2R,3R,4S,5R)-4-Amino-5-[(R)-Methylsulfinyl]Cyclopentane-1,2,3-Triol
D-Mannose-2-13C
D-Mannose-3-13C
Dictionary
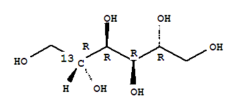
Chemical Name:
D-Mannitol-2-13C
Synonyms:
D-[2-13C]MANNITOL;D-Mannitol-2-13C
CAS#:
287100-69-0
Molecular formula:
13CC5H14O6
Molecular weight:
183.18
Molecular Structure:
Suppliers for D-Mannitol-2-13C More...
Shanghai Danfan Network Science&Technology Co., Ltd. All Rights Reserved.