Set as your home page
|
Add to Favorites
Join Now
|
Sign In
|
Contact us
|
China Site
Products
CAS number
Company
Sell
Buy
Expo
Dictionary
Hot Keywords
:
Sodium Stannate
,
Iron Dextran
,
Ivermectin
,
Imidocarb
,
Glyphosate
Home
For Buyers
For Sellers
Products Directory
Company Directory
EXPO
Dictionary
My office
Display by Products Name
Display by CAS No.
Dictionary
A
B
C
D
E
F
G
H
I
J
K
L
M
N
O
P
Q
R
S
T
U
V
W
X
Y
Z
L-glutamic-2-13c acid
Magnesium hydrogen l-2-aminoglutarate hydrobromide
6-Amino-2-[[2-[(2-amino-5-hydroxy-5-oxo-pentanoyl)amino]-3-sulfanyl-propanoyl]amino]hexanoic acid
L-alpha-glutamyl-l-cysteinylglycine glutathione
L-gamma-glutamyl-l-cysteinyl glutathione
Glutaryl-ala-ala-phe 4-methoxy-beta-naphthylamide
Glutaroyl carnitine
Glutathione dimethyl ester disulfide dihydrochloride
4-Glutathionyl cyclophosphamide
3-Glutathionyl-s-methylindole
Dictionary
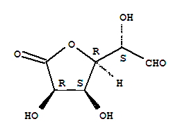
Chemical Name:
L-glucurono-3,6-lactone
Synonyms:
Glucuronicacid, g-lactone, L- (8CI)
CAS#:
32449-80-2
Molecular formula:
C6H8O6
Molecular weight:
176.12
Molecular Structure:
Suppliers for L-glucurono-3,6-lactone More...
Shanghai Danfan Network Science&Technology Co., Ltd. All Rights Reserved.