| |
|
| |
 |
Dictionary |
 |
| 1,2,5-Oxadiazol-3-amine,4-(2-benzothiazolyl)-(9ci) |
| Butanedioic acid,(2,5-dihydro-2,5-dioxo-1h-pyrrol-1-yl)-,(2s)-(9ci) |
| Carbamic acid,(1-formylpropyl)-,1,1-dimethylethyl ester (9ci) |
| 2-Furancarboxamide,n-cycloheptyl-5-nitro-(9ci) |
| Benzamide,n-cyclopentyl-3,4-dimethoxy-(9ci) |
| (3,4-Dimethoxy-benzyl)-(tetrahydro-furan-2-yl-methyl)-amine |
| Benzoic acid,5-amino-2-(1-methylethoxy)-,methyl ester (9ci) |
| 4-Morpholinecarboxamide,n-[2-(aminocarbonyl)phenyl ]-(9ci) |
| 5-Pyrimidinecarboxylicacid,1,2,3,4-tetrahydro-6-methyl-2-oxo-4-(2-thienyl)-,1-methylethylester(9ci) |
| 2-Furancarboxamide,n-(2-ethylphenyl)-(9ci) |
|
|
 |
Dictionary |
|
 |
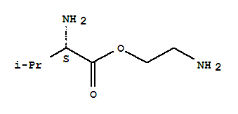
| Chemical Name: |
L-valine,2-aminoethyl ester (9ci) |
| Synonyms: |
|
| CAS#: |
346623-05-0 |
| Molecular formula: |
C7H16N2O2 |
| Molecular weight: |
160.21414 |
| Molecular Structure: |
 |
|
|