| |
|
| |
 |
Dictionary |
 |
| Benzoic acid,2-amino-4-cyano-,ethyl ester (9ci) |
| 8-Nonen-4-amine,2-methyl- |
| Bicyclo[4.1.0]heptan-2-ol ,2-butyl-6-ethoxy-,(1r,2r,6s)-rel-(9ci) |
| 1,2,5-Oxadiazole-3,4-diamine,n-pentyl-(9ci) |
| Benzenemethanol ,2-ethenyl--alpha--ethyl-(9ci) |
| Benzenemethanol ,2-butyl--alpha--ethyl-(9ci) |
| 2(1H)-pyrimidinone,3,4-dihydro-6-methyl-5-(1-methylethyl)-4-phenyl-(9ci) |
| 1H-pyrrole,2,5-diethynyl-1-methyl-(9ci) |
| 3-Furancarboxylicacid,2-[(hydroxyimino)methyl ]-5-methyl-,ethylester(9ci) |
| 3-Buten-2-one,4-cyclopentyl-,(3z)-(9ci) |
|
|
 |
Dictionary |
|
 |
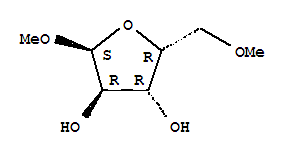
| Chemical Name: |
Alpha-d-xylofuranoside,methyl 5-o-methyl- |
| Synonyms: |
|
| CAS#: |
35007-57-9 |
| Molecular formula: |
C7H14O5 |
| Molecular weight: |
178.18 |
| Molecular Structure: |
 |
|
|