| |
|
| |
 |
Dictionary |
 |
| 2(1H)-pyrimidinone,5-acetyl-3,4-dihydro-4-(4-hydroxyphenyl)-6-methyl-(9ci) |
| 2(1H)-pyrimidinone,5-acetyl-4-(2,4-dihydroxyphenyl)-3,4-dihydro-6-methyl-(9ci) |
| Propanamide,n-methyl-3-[(2,3,4,5-tetrahydro-3,5-dioxo-1,2,4-triazin-6-yl)amino]-(9ci) |
| 3-Furancarboxamide,n-cyclohexyl-2,5-dihydro-4,5,5-trimethyl-2-oxo-(9ci) |
| Oxiranemethanamine,n-cyclohexyl-3,3-dimethyl-(9ci) |
| Oxiranemethanamine,3,3-dimethyl-n-phenyl-(9ci) |
| Oxiranemethanamine,3,3-dimethyl-n-2-propenyl-(9ci) |
| 2H-pyran-4-methanol ,tetrahydro-3-hydroxy-(9ci) |
| Ethanone,1-(tetrahydro-3-methyl-3-furanyl)-(9ci) |
| 2,4(1H,3h)-quinolinedione,3-methyl-,2-hydrazone(9ci) |
|
|
 |
Dictionary |
|
 |
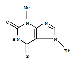
| Chemical Name: |
2H-purin-2-one,7-ethyl-1,3,6,7-tetrahydro-3-methyl-6-thioxo-(9ci) |
| Synonyms: |
|
| CAS#: |
380640-15-3 |
| Molecular formula: |
|
| Molecular weight: |
|
| Molecular Structure: |
 |
|
|