Set as your home page
|
Add to Favorites
Join Now
|
Sign In
|
Contact us
|
China Site
Products
CAS number
Company
Sell
Buy
Expo
Dictionary
Hot Keywords
:
Sodium Stannate
,
Iron Dextran
,
Ivermectin
,
Imidocarb
,
Glyphosate
Home
For Buyers
For Sellers
Products Directory
Company Directory
EXPO
Dictionary
My office
Display by Products Name
Display by CAS No.
Dictionary
A
B
C
D
E
F
G
H
I
J
K
L
M
N
O
P
Q
R
S
T
U
V
W
X
Y
Z
1H-indole,5-fluoro-2,3-dihydro-1-methyl-(9ci)
[5-(2-Methyl-1,3-thiazol-4-yl)-3-isoxazolyl]methanol
Benzonitrile,5-amino-2-fluoro-4-hydroxy-(9ci)
Acetamide,n-ethyl-n-(4-fluorophenyl)-
Tricyclo[3.3.1.13,7]decan-2-ol ,2-ethyl-1,3-dimethyl-(9ci)
Carbamic acid,(3-methyl-2-oxobutyl)-,1,1-dimethylethyl ester (9ci)
1-Piperazinecarbothioamide,4-acetyl-(9ci)
Piperazine,1-(3-butynyl)-4-methyl-(9ci)
1,8-Naphthyridine-2-carboxamide,n-2-propenyl-(9ci)
2(1H)-pyrimidinone,4-methyl-6-(methylamino)-,hydrazone(9ci)
Dictionary
Chemical Name:
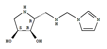
3,4-Pyrrolidinediol ,2-[[(1h-imidazol-1-ylmethyl)amino]methyl ]-,(2r,3r,4s)-(9ci)
Synonyms:
CAS#:
388076-95-7
Molecular formula:
C9H16N4O2
Molecular weight:
212.24894
Molecular Structure:
Suppliers for 3,4-Pyrrolidinediol ,2-[[(1h-imidazol-1-ylmethyl)amino]methyl ]-,(2r,3r,4s)-(9ci) More...
Shanghai Danfan Network Science&Technology Co., Ltd. All Rights Reserved.