Set as your home page
|
Add to Favorites
Join Now
|
Sign In
|
Contact us
|
China Site
Products
CAS number
Company
Sell
Buy
Expo
Dictionary
Hot Keywords
:
Sodium Stannate
,
Iron Dextran
,
Ivermectin
,
Imidocarb
,
Glyphosate
Home
For Buyers
For Sellers
Products Directory
Company Directory
EXPO
Dictionary
My office
Display by Products Name
Display by CAS No.
Dictionary
A
B
C
D
E
F
G
H
I
J
K
L
M
N
O
P
Q
R
S
T
U
V
W
X
Y
Z
β-carotene5,6-epoxide
(Rac.)-δ-carotene
ε-Carotene
ζ-Carotene
Citranaxanthin
β-citraurin
α-cryptoxanthin
Cucurbitaxanthina
3’-Dehydrolutein
Echinenone
Dictionary
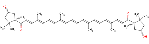
Chemical Name:
Capsorubin
Synonyms:
CAS#:
470-38-2
Molecular formula:
C40H56O4
Molecular weight:
600.8702
Molecular Structure:
Suppliers for Capsorubin More...
Shanghai Danfan Network Science&Technology Co., Ltd. All Rights Reserved.