Set as your home page
|
Add to Favorites
Join Now
|
Sign In
|
Contact us
|
China Site
Products
CAS number
Company
Sell
Buy
Expo
Dictionary
Hot Keywords
:
Sodium Stannate
,
Iron Dextran
,
Ivermectin
,
Imidocarb
,
Glyphosate
Home
For Buyers
For Sellers
Products Directory
Company Directory
EXPO
Dictionary
My office
Display by Products Name
Display by CAS No.
Dictionary
A
B
C
D
E
F
G
H
I
J
K
L
M
N
O
P
Q
R
S
T
U
V
W
X
Y
Z
N-butyryl-p-aminophenol
N-methyl-d-leucine
Octanoyl hydravide
P-ethyoxybenzaldehyde
Pitavastatin propyl ester
Rosuvastatin isopropyl ester
S-(2-guanidino-thiazol-4-yimetnyl)-(zotniourea dihydrochloride)
Trans-5-chloro-2,3,3a,12b-tetrahydro-2-methyl-1h-dibenz[2,3:6,7]oxepino[4,5-c]pyrrole-1-one
Tripolyglycerol monostearates
Tris(2-ethylhexyl) trimellitate
Dictionary
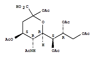
Chemical Name:
N-acetylneuraminicacid2,4,7,8,9-pentaacetate
Synonyms:
CAS#:
4887-11-0
Molecular formula:
C21H29NO14
Molecular weight:
Molecular Structure:
Suppliers for N-acetylneuraminicacid2,4,7,8,9-pentaacetate More...
Shanghai Danfan Network Science&Technology Co., Ltd. All Rights Reserved.