| |
|
| |
 |
Dictionary |
 |
|
|
|
 |
Dictionary |
|
 |
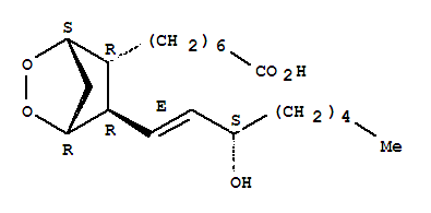
| Chemical Name: |
Prostaglandin h1 |
| Synonyms: |
2,3-Dioxabicyclo[2.2.1]heptane,prost-13-en-1-oic acid deriv.; PGH1; Prostaglandin H1; Prostaglandin R1 |
| CAS#: |
52589-22-7 |
| Molecular formula: |
C20H34O5 |
| Molecular weight: |
354.48 |
| Molecular Structure: |
 |
|
|