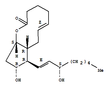
Chemical Name: |
(5Z,9alpha,11alpha,13e,15s)-9,11,15-trihydroxy-prosta-5,13-dien-1-oicacid 1,9-lactone |
Synonyms: |
Cyclopent[b]oxecin,prosta-5,13-dien-1-oic acid deriv.; PGF2a 1,9-lactone |
CAS#: |
55314-48-2 |
Molecular formula: |
C20H32O4 |
Molecular weight: |
336.47 |
Molecular Structure: |
 |
|