| |
|
| |
 |
Dictionary |
 |
|
|
|
 |
Dictionary |
|
 |
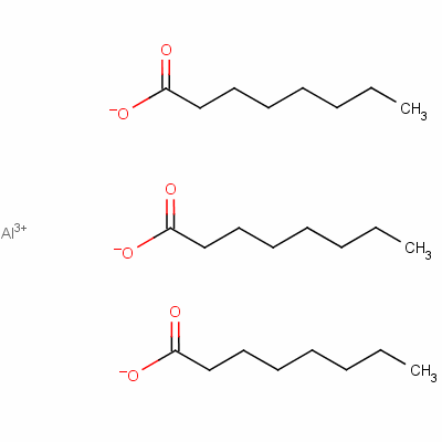
| Chemical Name: |
Aluminium trioctanoate |
| Synonyms: |
Aluminumoctanoate (7CI); Octanoic acid, aluminum salt (8CI,9CI); Aluminum caprylate;Aluminum octoate; Aluminum octylate; Borchigel OS-Al |
| CAS#: |
6028-57-5 |
| Molecular formula: |
C24H45AlO6 |
| Molecular weight: |
456.60 |
| Molecular Structure: |
 |
|
|