| |
|
| |
 |
Dictionary |
 |
| 3-Methyl-1,1-bis[(1,1-dimethylethyl)dimethylsilyl ]-1,2-butadiene |
| (S)-heptane-1,2-diol |
| Naphthalen-1-yl-diphenyl-amine |
| 4,5,6,7-Tetrachloro-2-(3-methoxyphenyl)-2-phenyl-1,3-benzodioxole |
| 6-Aminooctanenitrile |
| 2-Chloro-4-ethyl-6-methylpyrimidine |
| 1-[(2E,4e)-1-oxo-2,4-hexadienyl ]piperidine |
| 1-[(2E,4e,6e)-1-oxo-2,4,6-octatrienyl ]piperidine |
| 1,3-Dihydro-1,3-bis(trimethylsilyl)-2h-imidazol-2-one |
| 1,6-Dibromo-3-hexyne |
|
|
 |
Dictionary |
|
 |
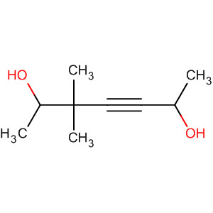
| Chemical Name: |
5,5-Dimethyl-3-heptyne-2,6-diol |
| Synonyms: |
|
| CAS#: |
61228-11-3 |
| Molecular formula: |
C9H16O2 |
| Molecular weight: |
156.22 |
| Molecular Structure: |
 |
|
|