|
|
|
 |
Dictionary |
 |
5-Bromo-1,3,4-thiadiazole-2-carboxamide |
(2Z)-3-(diethylamino)-2-fluoroprop-2-enal |
1-Chloro-9h-2,4,7,9-tetraaza-fluorene |
1-(Trifluoromethoxy)-2-[2-(trifluoromethoxy)ethoxy]ethane |
Bibenzyl-4,4-diol |
1-Acetyl-1h-furo[3,4:4,5]benzo[1,2-d] imidazole-5,7-dione |
6-Amino-3,7-dihydro-imidazo[4,5-g] quinazolin-8-one |
1-Naphthalen-1-yl-1h-indazole |
N-(2-bromo-benzylidene)-n-phenyl- hydrazine |
4-Methylpent-2-enoic acid |
|
|
 |
Dictionary |
|
 |
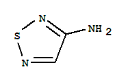
Chemical Name: |
1,2,5-Thiadiazol-3-amine |
Synonyms: |
|
CAS#: |
6504-55-8 |
Molecular formula: |
C2H3N3S |
Molecular weight: |
101.13 |
Molecular Structure: |
 |
|
|