|
|
|
 |
Dictionary |
 |
L-ascorbic acid, 3-deoxy-3-(propylamino)-(9ci) |
L-ascorbic acid, 5,6-o-(2-aminoethylidene)-(9ci) |
L-ascorbic acid, 6-chloro-6-deoxy-6-oxo-(9ci) |
L-ascorbic acid, 6-o-(2-oxoethyl)-(9ci) |
L-aspartic acid, 2-(hydroxymethyl)-(9ci) |
L-aspartic acid, 2,3-dimethyl-, (3r)-(9ci) |
L-aspartic acid, 2-ethyl-(9ci) |
L-aspartic acid, 3-fluoro-(9ci) |
L-aspartic acid, 3-fluoro-, 4-methyl ester (9ci) |
L-aspartic acid, 3-fluoro-, threo-(9ci) |
|
|
 |
Dictionary |
|
 |
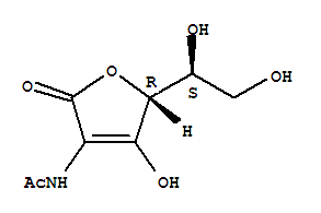
Chemical Name: |
L-ascorbic acid, 2-(acetylamino)-2-deoxy-(9ci) |
Synonyms: |
|
CAS#: |
733700-20-4 |
Molecular formula: |
C8H11NO6 |
Molecular weight: |
217.17604 |
Molecular Structure: |
 |
|
|