| |
|
| |
 |
Dictionary |
 |
| Piperazine, 1-methyl-4-[2-(trimethylsilyl)ethyl]-(9ci) |
| Piperazine, 1-methyl-4-pentyl-(9ci) |
| Oxirane, 2-(4-pentenyl)-3-(2-propenyl)-(9ci) |
| Oxirane, 2-(bromomethyl)-2-ethyl-3-propyl-(9ci) |
| Oxirane, 2-(chloroethynyl)-2,3-dimethyl-(9ci) |
| Piperazine, 1-nitroso-4-propyl-(9ci) |
| Oxirane, 2-(chloromethyl)-3-ethynyl- |
| Piperazine, 1-phenyl-4-[(1-pyrazinyl-4-piperidinyl)carbonyl]-(9ci) |
| Oxirane, 2-(cyclopropylethynyl)-3-ethenyl-(9ci) |
| Piperazine, 1-phenyl-4-[[1-(2-pyrimidinyl)-3-piperidinyl]carbonyl]-(9ci) |
|
|
 |
Dictionary |
|
 |
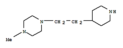
| Chemical Name: |
Piperazine, 1-methyl-4-[2-(4-piperidinyl)ethyl]-(9ci) |
| Synonyms: |
|
| CAS#: |
775288-46-5 |
| Molecular formula: |
C12H25N3 |
| Molecular weight: |
211.347 |
| Molecular Structure: |
![Piperazine, 1-methyl-4-[2-(4-piperidinyl)ethyl]-(9ci)Structure,775288-46-5Structure Piperazine, 1-methyl-4-[2-(4-piperidinyl)ethyl]-(9ci) Structure,775288-46-5Structure](../jpg/775288-46-5.jpg) |
|
|