| |
|
| |
 |
Dictionary |
 |
| 1,2-Dipalmitoyl-sn-glycero-3-phospho-sn-1-glycerol sodium salt |
| 1,2-Dioleoyl-3-trimethylammonium-propane, Chloride |
| Quinocide |
| Ethyl [(8S,9S,10R,11S,13S,14S,17R)-11-Hydroxy-17-(2-Hydroxyacetyl)-10,13-Dimethyl-3-Oxo-7,8,9,11,12,14,15,16-Octahydro-6H-Cyclopenta[a]Phenanthren-17-Yl] Carbonate |
| Methylpiperidino pyrazole |
| Jwh 302 |
| 10-Nitrolinoleate |
| Gw 1929 |
| 3,4-Methylenedioxy-α-pyrrolidinopropiophenone hcl |
| Mre-269 |
|
|
 |
Dictionary |
|
 |
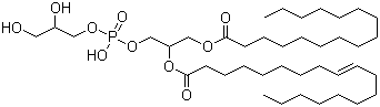
| Chemical Name: |
1-Palmitoyl-2-oleoyl-phosphatidylglycerol |
| Synonyms: |
9-Octadecenoicacid (Z)-, 1-[[[(2,3-dihydroxypropoxy)hydroxyphosphinyl]oxy]methyl]-2-[(1-oxohexadecyl)oxy]ethylester;1-palmitoyl-2-oleoyl-sn-glycero-3-phosphorylglycerol, sodium salt;l-伪-phosphatidyl-dl-glycerol, 尾-oleoyl-纬-palmitoyl (c18:1,[cis]-9/c16:0) ammonium salt;Palmitoyloleoylphosphatidylglycerol; |
| CAS#: |
81490-05-3 |
| Molecular formula: |
C40H77O10P |
| Molecular weight: |
749.0071 |
| Molecular Structure: |
 |
|
|