Set as your home page
|
Add to Favorites
Join Now
|
Sign In
|
Contact us
|
China Site
Products
CAS number
Company
Sell
Buy
Expo
Dictionary
Hot Keywords
:
Sodium Stannate
,
Iron Dextran
,
Ivermectin
,
Imidocarb
,
Glyphosate
Home
For Buyers
For Sellers
Products Directory
Company Directory
EXPO
Dictionary
My office
Display by Products Name
Display by CAS No.
Dictionary
A
B
C
D
E
F
G
H
I
J
K
L
M
N
O
P
Q
R
S
T
U
V
W
X
Y
Z
D-glucose-1,2-13c2
D-glucose-1,3-13c2
D-glucose-4,5-13c2
D-glucose-4,6-13c2
D-glucose-5,6-13c2
D-glucose-1,2,3-13c3
D-glucose-4,5,6-13c3
D-glucose-1-c-d
D-glucose-2-c-d
D-glucose-3-c-d
Dictionary
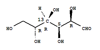
Chemical Name:
D-glucose-4-13c
Synonyms:
CAS#:
84270-10-0
Molecular formula:
C6H12O6
Molecular weight:
181.16
Molecular Structure:
Suppliers for D-glucose-4-13c More...
Shanghai Danfan Network Science&Technology Co., Ltd. All Rights Reserved.