Set as your home page
|
Add to Favorites
Join Now
|
Sign In
|
Contact us
|
China Site
Products
CAS number
Company
Sell
Buy
Expo
Dictionary
Hot Keywords
:
Sodium Stannate
,
Iron Dextran
,
Ivermectin
,
Imidocarb
,
Glyphosate
Home
For Buyers
For Sellers
Products Directory
Company Directory
EXPO
Dictionary
My office
Display by Products Name
Display by CAS No.
Dictionary
A
B
C
D
E
F
G
H
I
J
K
L
M
N
O
P
Q
R
S
T
U
V
W
X
Y
Z
5-Methyl-n-phenyl-1,2-oxazole-4-sulfonamide
Ethyl 5-(2-methyl-2-propanyl)-3-phenyl-1,2-oxazole-4-carboxylate
Ethyl 8-oxoundecanoate
2-(2-Chlorophenyl)-2-hydroxyacetamide
N-phenylcyclopentanesulfonamide
(10-Aminodecyl)phosphonic acid hydrochloride (1:1)
3,7-Dioxatricyclo[4.2.0.0
2,4
]octane
2-Isopropyl-5-methoxy-1-pentanamine
N-[1-(aminooxy)-3-methyl-1-oxo-2-butanyl]-2-phenylacetamide
2-(2-Amino-2-propanyl)-5-methylcyclopentanamine
Dictionary
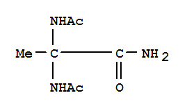
Chemical Name:
2-Acetamido-n
2
-acetylalaninamide
Synonyms:
Propionamide,a,a-diacetamido- (3CI)
CAS#:
858445-68-8
Molecular formula:
C7H13N3O3
Molecular weight:
187.20
Molecular Structure:
Suppliers for 2-Acetamido-n
2
-acetylalaninamide More...
Shanghai Danfan Network Science&Technology Co., Ltd. All Rights Reserved.