| |
|
| |
 |
Dictionary |
 |
| Methanamine, 1-(2-methoxyphenoxy)-(9ci) |
| Methanamine, 1-(3,5-dimethyl-1,2-dioxido-4h-pyrazol-4-ylidene)- |
| Methanamine, 1-(3-butenyloxy)-n,n-dimethyl-(9ci) |
| Methanamine, 1-(6-aci-nitro-2,4-cyclohexadien-1-ylidene)-, conjugate monoacid (9ci) |
| Methanamine, 1,1,1-trifluoro-n-(fluoromethyl)-n-methyl-(9ci) |
| Methanamine, 1,1-difluoro-n,n-bis(fluoromethyl)-(9ci) |
| Methanamine, 1-cyclopentylidene-n,n-dimethyl-(9ci) |
| Methanamine, n-(1,2-dihydro-1,2-dimethyl-5-phenyl-3h-pyrazol-3-ylidene)-(9ci) |
| Methanamine, n-(1,3-dihydro-1,3-dimethyl-2h-imidazol-2-ylidene)-(9ci) |
| Methanamine, n-(1,3-dihydro-1-methyl-2h-indol-2-ylidene)-(9ci) |
|
|
 |
Dictionary |
|
 |
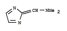
| Chemical Name: |
Methanamine, 1-(2h-imidazol-2-ylidene)-n,n-dimethyl- |
| Synonyms: |
|
| CAS#: |
895139-55-6 |
| Molecular formula: |
C6H9N3 |
| Molecular weight: |
123.16 |
| Molecular Structure: |
 |
|
|