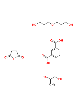
| Chemical Name: |
1,3-Benzenedicarboxylic acid, polymer with 2,5-furandione, oxybispropanol and 1,2-propanediol |
| Synonyms: |
1,3-Benzenedicarboxylic acid, polymer with 2,5-furandione, oxybispropanol and 1,2-propanediol;Isophthalic acid, dipropylene glycol, maleic anhydride, propylene glycol polyester;Maleic anhydride, isophthalic acid, dipropylene glycol, propylene glycol polymer;Maleic anhydride, isophthalic acid, propylene glycol, dipropylene glycol polymer;Propylene glycol, dipropylene glycol, isophthalic acid, maleic anhydride polymer |
| CAS#: |
9065-68-3 |
| Molecular formula: |
C21H30O12 |
| Molecular weight: |
474.46 |
| Molecular Structure: |
 |
|